Fasteners
Bolts Screws Nuts Washers
Fasteners are used to create non-permanent joints between parts. There are two types of fasteners generally used in the fabrication industry – threaded fasteners and general fasteners.
Threaded fasteners are the principal devices used for assembling components and they are usually grouped into three main categories as shown in the figure:

1. Bolts
Bolts are less used in sheet metal applications. However, it is appropriate to review some pertinent information.

Structural Bolt
(Image source)
Hex Head Bolts

Hex tap bolts, hex cap screws, trim head hex cap screws, and hex serrated flange bolts fall under this category. They share a hexagonal head and are driven with a wrench.
Carriage Bolts

(Image source)
Also known as a “coach” bolt, has a domed or countersunk head. The square section under the head grips into the part being fastened preventing the bolt from turning when the nut is tightened.
Shoulder Bolt

(Image source)
Shoulder bolts are machine screws with a shoulder between the thread of the screw and the head of the part. Once installed, the non-threaded portion extends out of the surface of the application site, allowing the bolts to act as dowels or shafts for moving parts.
Anchor Bolts

(Image source)
Anchor bolts also known as expansion bolts are used for grouting purposes, for example, to rigidly fix an assembled cabinet or a frame to the ground in a secured manner. They are first driven into the ground and made to stay in place tightly by way of expansion sleeve.
J Bolts

(Image source)
J-bolts are J-shaped fasteners, threaded on the straight side. They are often used in structural applications like securing parts to foundations or other rigid parts. The bent end hooks around the support.
U Bolts

(Image source)
U-bolts have primarily been used to support pipework. A U-bolt would be described by the size of pipe it was supporting. U-bolts are also used to hold ropes together.
2. Screws
Screws are the most widely used fasteners in the sheet metal industry. There are a wide variety of screws available to suit different applications.
Anatomy of Screw

Example CSK Screw.
Machine Screws
Machine screws have rolled threads means the threads are precise in pitches and tolerances. They come in a coarse thread, which means they have 1 thread per mm, and in fine thread, they have1.25 threads per mm. Machine screws come with different types of heads.

(Image source)
The most common types of machine screw head shapes are pan-head, cheese head, countersunk, button head, socket head, and Phillips head. While screws require a regular screwdriver to tighten, the socket head needs an Allen key, and phillips head needs a star screwdriver Countersunk screws are used when the screw needs to be flush with the surface. Set screws and grub screws are headless.
How to specify a Screw?

(Image source)
Example : CH M8 x 20
the description means…
CH = Screwhead type (Cheese Head)
M = Metric thread designation
8 = Nominal diameter, in mm
20 = Length, in mm
Datasheets of screws give elaborate and precise information about all fasteners. It is easy to incorporate the same in designs and documentation to facilitate tolerances and hole diameters.
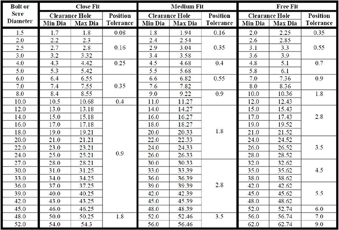
3. Screw / Bolt Hole Tolerances
Clearance Hole Tolerance Table

Dim in mm (Image source)
4. Self-Drilling / Tapping Screws
Self-tapping screws enable the elimination of nuts in joining two sheet metal parts. They are effective in keeping parts together under compression. A recommended pilot hole is drilled in the bottom sheet metal part and a through-hole in the top part. The self-tapping screw plunge through the bottom part creating a thread or two to enable taught fixing. The number of threads depends upon the sheet thickness.
Where the material which accommodated the self-tapping screw is porous, a standard fiber “gland” is inserted to plug the hole as well to accommodate the screw.
Clinched studs and standoffs are meant to clinch into the sheet and stay firm. They are very useful for joining sheets and parts together so long as the pulling forces are not very high. Self-clinching fasteners stay permanently in thin ductile metal sheets by being pressed into place in a properly sized drilled or punched hole and by applying sufficient squeezing force. The force applied causes displaced sheet material to cold flow into the annular recess in the shank, permanently locking the fastener in place. Serrations, knurling in the fastener prevent the fastener from rotating in the metal when applying tightening torque. As compared to clinched nuts clinched studs have less footprint to enable placed closer to the edge of the sheet without causing the edge of the sheet to bulge. They can be mounted in sheets as thin as 0.8 mm. Clinch studs are used widely to stack PCBs using spacers in the electronic industry.
Instead of clinching, this type of stanoffs are resistance welded to supporting sheet.
Welded threaded Studs.
Instead of clinching, these type of standoffs are resistance welded to supporting sheet. There are stud guns available that can weld the standoff by triggering.